بطارية ليثيوم الطاقة الشمسية
الوصف
معلمات التقنية
سمة من سمات المنتج بطارية LiFePO4 صورة المنتج
● دورة حياة أطول:يوفر عمر دورة أطول يصل إلى 10 مرات وعمر تعويم / تقويم أطول بخمس مرات من بطارية الرصاص الحمضية. المساعدة في تقليل تكلفة الاستبدال وتقليل التكلفة الإجمالية للملكية.
● وزن أخف:حوالي 40 في المائة من وزن بطارية حمض الرصاص المماثلة. بديل "قطرة في" لبطارية الرصاص الحمضية.
● قوة أعلى:يوفر ضعف طاقة بطارية الرصاص الحمضية ، وحتى معدل التفريغ العالي ، مع الحفاظ على قدرة طاقة عالية.
نطاق درجة حرارة أوسع: -10 درجة ~ 60 درجة
● سلامة فائقة:تعمل كيمياء فوسفات الحديد والليثيوم على التخلص من مخاطر الانفجار أو الاحتراق بسبب التأثير العالي أو الشحن الزائد أو حالة قصر الدائرة.
● HW12100 إس
● لا يوجد تأثير على الذاكرة:دعم حالة الشحن الجزئية غير المستقرة (UPSOC) (الشحن / التفريغ).

وظائف تطبيق BMS
● أكثر من وظيفة الكشف عن الشحن
● أكثر من وظيفة الكشف عن التفريغ
● أكثر من وظيفة الكشف الحالية
● وظيفة حماية درجة الحرارة
● وظيفة الكشف عن ماس كهربائى
● وظيفة التوازن
● المنزلية
● ضوء الشمس
● عربة سكن متنقلة
● قارب صيد
٪e2٪97٪8f عربة جولف
● الاتصالات

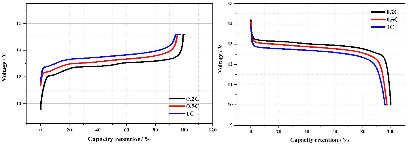
منحنيات الشحن عند معدلات C مختلفة
منحنيات التفريغ في مختلف معدلات C

دورة الحياة في وزارة الدفاع المختلفة
تخصيص
|
نموذج |
HW12100 إس |
|
|
الخصائص الكهربائية |
الجهد الاسمي |
12.8V |
|
القدرة الاسمية |
100 أمبير |
|
|
طاقة |
1280 واط |
|
|
المقاومة الداخلية |
أقل من أو يساوي 20 مΩ (بدون BMS) |
|
|
دورة الحياة |
أكبر من أو يساوي 3000 دورة |
|
|
صمم حياتك |
10 سنوات @ 25 درجة |
|
|
التفريغ الذاتي (30 يومًا) |
أقل من أو يساوي 5 بالمائة ، @ 25 درجة |
|
|
كفاءة الشحن |
أكبر من أو يساوي 98 بالمائة |
|
|
كفاءة التفريغ |
Greater than or equal to 100 percent @ 0.2C أكبر من أو يساوي 96 بالمائة @ 1C |
|
|
تكلفة |
جهد الشحن |
14.2-14.6V |
|
وضع الشحن |
0. 2C إلى 14.6V ، ثم 14.6V تيار الشحن إلى 0. 02C (CC / CV) |
|
|
الأعلى. التهمة الحالية |
100A |
|
|
تسريح |
الأعلى. تيار التفريغ المستمر |
100A |
|
تفريغ قطع التيار الكهربائي |
9.5-10.5V |
|
|
بيئي |
نطاق درجة حرارة الشحن |
0 درجة ~ 60 درجة |
|
نطاق درجة حرارة التفريغ |
-10 درجة ~ 60 درجة |
|
|
درجة حرارة التشغيل المثلى |
10 درجة ~ 35 درجة |
|
|
درجة حرارة التخزين |
-20 درجة ~ 55 درجة أقل من أو يساوي 85 بالمائة من الرطوبة النسبية |
|
|
مقاومة غبار الماء |
آي بي 65 |
|
|
ميكانيكي |
قضية |
عضلات المعدة |
|
محطات |
M8 |
|
|
أبعاد |
260 * 168 * 209 ملم |
|
|
الأعلى. وزن |
12 كجم |
|
|
دقيقة. الطاقة النوعية بالقياس الوزني |
106Wh / كجم |
|
|
آحرون |
منفذ الاتصالات |
بلوتوث |
|
بالتوازي في الحد الأقصى |
4 جهاز كمبيوتر شخصى |
|
|
المسلسل في الحد الأقصى |
4 جهاز كمبيوتر شخصى |
|
سمة من سمات المنتج بطارية LiFePO4 صورة المنتج
● دورة حياة أطول:يوفر عمر دورة أطول يصل إلى 10 مرات وعمر تعويم / تقويم أطول بخمس مرات من بطارية الرصاص الحمضية. المساعدة في تقليل تكلفة الاستبدال وتقليل التكلفة الإجمالية للملكية.
● وزن أخف:حوالي 40 في المائة من وزن بطارية حمض الرصاص المماثلة. بديل "قطرة في" لبطارية الرصاص الحمضية.
● قوة أعلى:يوفر ضعف طاقة بطارية الرصاص الحمضية ، وحتى معدل التفريغ العالي ، مع الحفاظ على قدرة طاقة عالية.
نطاق درجة حرارة أوسع: -10 درجة ~ 60 درجة
● سلامة فائقة:تعمل كيمياء فوسفات الحديد والليثيوم على التخلص من مخاطر الانفجار أو الاحتراق بسبب التأثير العالي أو الشحن الزائد أو حالة قصر الدائرة.
● HW12200 إس
● لا يوجد تأثير على الذاكرة:دعم حالة الشحن الجزئية غير المستقرة (UPSOC) (الشحن / التفريغ).

وظائف تطبيق BMS
● أكثر من وظيفة الكشف عن الشحن
● أكثر من وظيفة الكشف عن التفريغ
● أكثر من وظيفة الكشف الحالية
● وظيفة حماية درجة الحرارة
● وظيفة الكشف عن ماس كهربائى
● وظيفة التوازن
● المنزلية
● ضوء الشمس
● عربة سكن متنقلة
● قارب صيد
٪e2٪97٪8f عربة جولف
● الاتصالات

منحنيات الشحن عند معدلات C مختلفة
منحنيات التفريغ في مختلف معدلات C

دورة الحياة في وزارة الدفاع المختلفة
تخصيص
|
نموذج |
HW12200 إس |
|
|
الخصائص الكهربائية |
الجهد الاسمي |
12.8V |
|
القدرة الاسمية |
200 أمبير |
|
|
طاقة |
2560 واط |
|
|
المقاومة الداخلية |
أقل من أو يساوي 20 مΩ (بدون BMS) |
|
|
دورة الحياة |
أكبر من أو يساوي 3000 دورة |
|
|
صمم حياتك |
10 سنوات @ 25 درجة |
|
|
التفريغ الذاتي (30 يومًا) |
أقل من أو يساوي 5 بالمائة ، @ 25 درجة |
|
|
كفاءة الشحن |
أكبر من أو يساوي 98 بالمائة |
|
|
كفاءة التفريغ |
Greater than or equal to 100 percent @ 0.2C أكبر من أو يساوي 96 بالمائة @ 1C |
|
|
تكلفة |
جهد الشحن |
14.2-14.6V |
|
وضع الشحن |
0. 2C إلى 14.6V ، ثم 14.6V تيار الشحن إلى 0. 02C (CC / CV) |
|
|
الأعلى. التهمة الحالية |
200A |
|
|
تسريح |
الأعلى. تيار التفريغ المستمر |
200A |
|
تفريغ قطع التيار الكهربائي |
9.5-10.5V |
|
|
بيئي |
نطاق درجة حرارة الشحن |
0 درجة ~ 60 درجة |
|
نطاق درجة حرارة التفريغ |
-10 درجة ~ 60 درجة |
|
|
درجة حرارة التشغيل المثلى |
10 درجة ~ 35 درجة |
|
|
درجة حرارة التخزين |
-20 درجة ~ 55 درجة أقل من أو يساوي 85 بالمائة من الرطوبة النسبية |
|
|
مقاومة غبار الماء |
آي بي 65 |
|
|
ميكانيكي |
قضية |
عضلات المعدة |
|
محطات |
M8 |
|
|
أبعاد |
483 * 170 * 240 ملم |
|
|
الأعلى. وزن |
23 كجم |
|
|
دقيقة. الطاقة النوعية بالقياس الوزني |
110Wh / كجم |
|
|
آحرون |
منفذ الاتصالات |
بلوتوث |
|
بالتوازي في الحد الأقصى |
4 جهاز كمبيوتر شخصى |
|
|
المسلسل في الحد الأقصى |
4 جهاز كمبيوتر شخصى |
|
لماذا أخترتنا؟
- إذا كنت تبحث عن مورد موثوق به لبطارية الليثيوم الشمسية ، فنحن أفضل خيار لك.
- كواحدة من أكثر الشركات المصنعة لبطاريات الليثيوم للطاقة الشمسية خبرة في الصين ، سنواصل البحث عن منتجاتنا وتطويرها وتحسينها لتحقيق المزيد من الراحة والفوائد لعملائنا الكرام.
- نستخدم أحدث التقنيات لتصنيع بطاريات الليثيوم الشمسية الآمنة والموثوقة.
- كطريقة لمعرفة العناصر والمشروع لدينا.
- التزامنا بالاستدامة يعني أن بطاريات الليثيوم الشمسية لدينا صديقة للبيئة.
- هدفنا هو تعزيز القوة الشاملة للمؤسسة والجودة والكفاءة وصورة العلامة التجارية لتحقيق قفزة شاملة.
- يلتزم فريقنا بتقديم التسليم في الوقت المناسب وخدمة استثنائية.
- لا تتردد في الاتصال بنا للحصول على مزيد من التفاصيل ، وسنكون سعداء للمناقشة معك إذا كنت بحاجة ، والعثور على الحلول المناسبة لبطارية ليثيوم الطاقة الشمسية لعملك.
- نحن مصنع صيني متخصص في منتجات بطاريات الليثيوم الشمسية عالية الجودة والخدمات المهنية.
- نحن دائمًا نعزز إدارة السلامة لتحقيق تنمية آمنة وصحية ومستقرة للمؤسسة.
مقدمة:
بصفتنا شركة مصنعة لبطاريات الليثيوم للطاقة الشمسية ، فإننا نفخر بتقديم منتجات عالية الجودة وموثوقة للتجار في جميع أنحاء العالم. تم تصميم بطارياتنا لتخزين وتزويد الطاقة لمختلف التطبيقات ، بما في ذلك الاستخدام السكني والتجاري والصناعي. في هذا الدليل ، سنناقش مزايا وميزات بطارية الليثيوم التي تعمل بالطاقة الشمسية ، ولماذا يجب على التجار التفكير في الشراكة معنا.
فوائد:
قبل الخوض في الجوانب التقنية لبطاريتنا ، دعنا أولاً نستكشف الفوائد التي يمكن أن يوفرها منتجنا:
1. مصدر طاقة نظيفة ومتجددة: تم تصميم بطارية الليثيوم التي تعمل بالطاقة الشمسية لتخزين الطاقة المتولدة من الألواح الشمسية ، والتي تعد مصدرًا نظيفًا ومتجددًا للطاقة. هذا يعني أن بطاريتنا يمكن أن تساعد في تقليل انبعاثات الكربون وتوفير حل للطاقة أكثر استدامة للتجار وعملائهم.
2. عمر طويل: عمر بطاريتنا يصل إلى 10 سنوات ، وهو أطول بكثير من بطاريات الرصاص الحمضية التقليدية. وهذا يعني أنه يمكن للتجار توفير حل طاقة أكثر موثوقية لعملائهم ، مما يؤدي إلى زيادة رضا العملاء وتقليل مكالمات الخدمة.
3. انخفاض تكلفة الملكية: تم تصميم بطارياتنا بحيث تتطلب الحد الأدنى من الصيانة ، مما يؤدي إلى انخفاض تكلفة الملكية بالنسبة للتجار. بالإضافة إلى ذلك ، تتمتع بطارياتنا بكثافة طاقة عالية ، مما يعني أنها يمكن أن توفر طاقة أكبر لكل وحدة حجم من البطاريات الأخرى ، مما يؤدي إلى انخفاض التكلفة الإجمالية للتاجر.
سمات:
الآن بعد أن اكتشفنا فوائد بطارية الليثيوم التي تعمل بالطاقة الشمسية ، دعنا نتعمق في الجوانب التقنية لمنتجنا:
1. كثافة طاقة عالية: تتميز بطاريتنا بكثافة طاقة عالية تصل إلى 165Wh / kg ، مما يعني أنها يمكن أن توفر طاقة أكبر لكل وحدة حجم من البطاريات الأخرى. ينتج عن هذا بطارية أصغر وأخف وزنًا يمكنها توفير نفس القدر من الطاقة مثل بطارية أكبر وأثقل.
2. الشحن السريع: يمكن شحن بطاريتنا بسرعة ، مع وقت شحن من 2.5 ساعة إلى 100 بالمائة من السعة. وهذا يعني أن التجار يمكنهم توفير حل للطاقة أكثر كفاءة وموثوقية لعملائهم.
3. التصميم المعياري: تم تصميم بطاريتنا لتكون معيارية ، مما يعني أنه يمكن للتجار إضافة البطاريات أو إزالتها بسهولة لزيادة أو تقليل سعة النظام. هذا يجعل من السهل على التجار تخصيص النظام لتلبية الاحتياجات المحددة لعملائهم.
4. نظام إدارة ذكي: تم تجهيز بطاريتنا بنظام إدارة ذكي يمكنه مراقبة أداء البطارية وتحسين تشغيلها. وهذا يعني أن التجار يمكنهم توفير حل للطاقة أكثر موثوقية وفعالية لعملائهم ، مما يؤدي إلى زيادة رضا العملاء.
خاتمة:
تعد بطارية الليثيوم التي تعمل بالطاقة الشمسية حلاً مثاليًا للتجار الذين يبحثون عن حل تخزين طاقة نظيف وموثوق وفعال. بفضل كثافة الطاقة العالية والشحن السريع والتصميم المعياري ونظام الإدارة الذكي ، تم تصميم بطاريتنا لتوفير حل طاقة طويل الأمد وفعال من حيث التكلفة لمختلف التطبيقات. لذلك إذا كنت تبحث عن بطارية ليثيوم تعمل بالطاقة الشمسية عالية الجودة وموثوقة ، فلا تبحث عن منتجنا!
الوسم : بطارية ليثيوم الطاقة الشمسية ، الصين بطارية ليثيوم الطاقة الشمسية المصنعين والموردين والمصنع
زوج من
حزمة بطارية الليثيوم الشمسيةفي المادة التالية
بنك الطاقة الشمسية بطارية ليثيومإرسال التحقيق









